发布日期:2024-12-27
在水下应用中,高性能光学成像技术的作用尤为关键,特别是在环境监测、资源勘探和科学研究等领域。例如,海洋生态监测中先进的光学成像技术,在自主水下航行器(AUV)或无人水下航行器(UUV)上配备光学成像系统,可以实时、准确地观测复杂的海底生态系统。然而,由于水体固有的物理特性,光线在传输过程中会受到各种退化因素的影响,显着降低图像质量。光散射导致图像模糊和细节对比度降低,光吸收导致图像发生色偏,严重影响颜色的真实性。这一退化现象凸显了发展高效图像恢复算法的需求,以有效恢复图像质量。级联框架作为一种有效的解决方案,通过集成多个模块,如色彩校正、细节增强和多特征融合等,展现出比传统的直接复原或端到端恢复方法更为显著的优势。

图1.水下光学成像技术及其应用
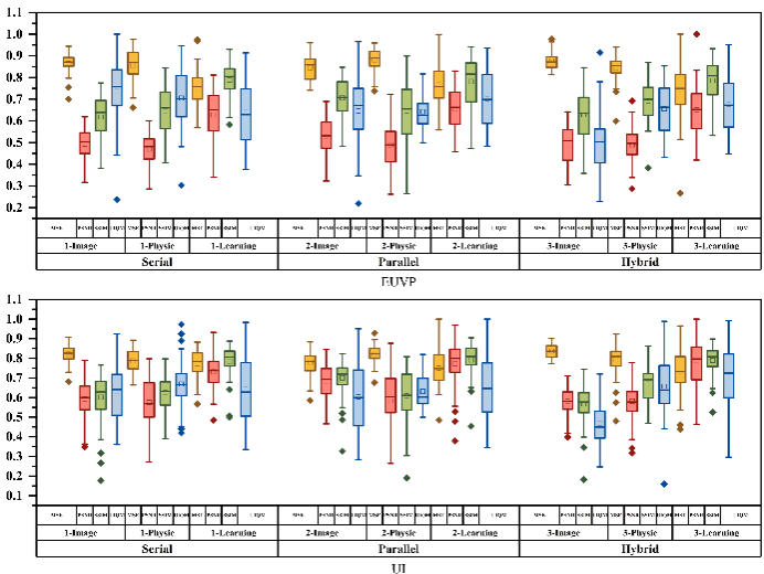
论文对比了不同级联结构(包括串行、并行和混合结构)的优点,重点讨论了利用图像内在特征、物理模型、先验知识和深度学习技术的多种恢复算法。全面回顾了水下图像恢复算法所需的公开数据集和评估指标(包括参考性和非参考性),这对于开发、验证和优化水下图像恢复算法至关重要。通过对若干开放式恢复算法的实验比较,验证了不同方法的有效性和适用性,突出了基于深度学习技术的水下光学图像复原的技术优势。

图3.级联方法的优势对比
此外,文章围绕算法、数据集和任务三个方面提出了潜在的研究方向。特别是算法和数据构成了水下图像复原的基础,它们相互关联、相辅相成,共同支持后续任务。相反,实际任务需要数据和算法的改进,引导其向更复杂的方向前进,进一步提升水下光学成像技术的能力。

图3.算法、数据集和任务的潜在研究方向
上述成果近日发表在信息融合领域知名期刊Information Fusion (中科院一区Top, IF=16.1,论文的下载链接为//doi.org/10.1016/j.inffus.2024.102809),题目为Cascaded frameworks in underwater optical image restoration,免费成人影片 免费成人影片 2023级硕士生李斌成为第一作者,通讯作者为李校博副教授。免费成人影片 2024级硕士生陈子乾和2022级本科生卢柳言作为主要作者参与了该项工作。此外,翟京生教授和胡浩丰教授共同指导了项目和论文。